Eletricidade

Escolha o assunto e comece seus estudos!

Muito aprendizado decore de se fazer perguntas.

Eletromagnetismo

LISTA 86 – FORÇA MAGNÉTICA SOBRE CARGAS ELÉTRICAS

01. (UNESP) Na figura, as setas com as legendas p e e representam a direção e o sentido da velocidade de um próton e de um elétron, respectivamente, ao penetrarem numa região de campo magnético constante e uniforme , em diferentes instantes e com diferentes velocidades.

as setas com as legendas p e e representam a direção e o sentido da velocidade de um próton e de um elétron, respectivamente, ao penetrarem numa região de campo magnético constante e uniforme , em diferentes instantes e com diferentes velocidades.

Considerando que cada uma dessas partículas esteve sujeita apenas à ação do campo magnético, pode-se afirmar que, das setas 1, 2, 3 e 4 representadas na figura,

(A) somente a seta 3 pode representar a saída do próton e a 1 a do elétron.

(B) a seta 1 pode representar a saída do próton, mas não há seta que possa representar a saída do elétron.

(C) a seta 3 pode representar a saída do elétron, mas não há seta que possa representar a saída do próton.

(D) as setas 1 e 3 podem representar a saída do próton e do elétron, respectivamente.

(E) as setas 4 e 2 podem representar a saída do próton e do elétron, respectivamente.

02. (UNESP)

Espectrometria de massas é uma técnica instrumental que envolve o estudo, na fase gasosa, de moléculas ionizadas, com diversos objetivos, dentre os quais a determinação da massa dessas moléculas. O espectrômetro de massas é o instrumento utilizado na aplicação dessa técnica.

(www.em.iqm.unicamp.br. Adaptado.)

A figura representa a trajetória semicircular de uma molécula de massa m ionizada com carga +q e velocidade escalar V, quando penetra numa região R de um espectrômetro de massa. Nessa região atua um campo magnético uniforme perpendicular ao plano da figura, com sentido para fora dela, representado pelo símbolo campo magnético saindo da tela. A molécula atinge uma placa fotográfica, onde deixa uma marca situada a uma distância x do ponto de entrada.

Considerando as informações do enunciado e da figura, é correto afirmar que a massa da molécula é igual a

alternativas questão 2 lista 86

03. (UNESP) Em muitos experimentos envolvendo cargas elétricas, é conveniente que elas mantenham sua velocidade vetorial constante. Isso pode ser conseguido fazendo a carga movimentar-se em uma região onde atuam um campo elétrico e um campo magnético, ambos uniformes e perpendiculares entre si. Quando as magnitudes desses campos são ajustadas convenientemente, a carga atravessa a região em movimento retilíneo e uniforme. A figura representa um dispositivo cuja finalidade é fazer com que uma partícula eletrizada com carga elétrica q > 0 atravesse uma região entre duas placas paralelas P1 e P2, eletrizadas com cargas de sinais opostos, seguindo a trajetória indicada pela linha tracejada. O símbolo × representa um campo magnético uniforme B = 0,004 T, com direção horizontal, perpendicular ao plano que contém a figura e com sentido para dentro dele. As linhas verticais, ainda não orientadas e paralelas entre si, representam as linhas de força de um campo elétrico uniforme de módulo E = 20 N/C.

Desconsiderando a ação do campo gravitacional sobre a partícula e considerando que os módulos E e B de sejam ajustados para que a carga não desvie quando atravessar o dispositivo, determine, justificando, se as linhas de força do campo elétrico E devem ser orientadas no sentido da placa P1 ou da placa P2 e calcule o módulo da velocidade v da carga, em m/s.

04. (UNESP) Uma mistura de substâncias radiativas encontra-se confinada em um recipiente de chumbo, com uma pequena abertura por onde pode sair um feixe paralelo de partículas emitidas. Ao saírem, três tipos de partícula, 1, 2 e 3, adentram uma região de campo magnético uniforme B com velocidades perpendiculares às linhas de campo magnético e descrevem trajetórias conforme ilustradas na figura.

Considerando a ação de forças magnéticas sobre cargas elétricas em movimento uniforme, e as trajetórias de cada partícula ilustradas na figura, pode-se concluir com certeza que:

A) as partículas 1 e 2, independentemente de suas massas e velocidades, possuem necessariamente cargas com sinais contrários e a partícula 3 é eletricamente neutra (carga zero).

B) as partículas 1 e 2, independentemente de suas massas e velocidades, possuem necessariamente cargas com sinais contrários e a partícula 3 tem massa zero.

C) as partículas 1 e 2, independentemente de suas massas e velocidades, possuem necessariamente cargas de mesmo sinal e a partícula 3 tem carga e massa zero.

D) as partículas 1 e 2 saíram do recipiente com a mesma velocidade.

E) as partículas 1 e 2 possuem massas iguais, e a partícula 3 não possui massa.

05. (UNESP) Duas cargas de massas iguais e sinais opostos, com a mesma velocidade inicial, entram pelo ponto A em uma região com um campo magnético uniforme, perpendicular ao plano xy e apontando para “cima”. Sabe-se que a trajetória 2 possui um raio igual ao dobro do raio da trajetória 1. 

Duas cargas de massas iguais e sinais opostos, com a mesma velocidade inicial, entram pelo ponto A em uma região com um campo magnético uniforme, perpendicular ao plano xy e apontando para “cima”. Sabe-se que a trajetória 2 possui um raio igual ao dobro do raio da trajetória 1.

Analisando a figura e desprezando a interação entre as duas cargas, pode-se concluir que a carga da partícula 2 tem sinal

A) negativo e o módulo da carga 1 é o dobro da 2.

B) negativo e o módulo da carga 2 é o dobro da 1.

C) positivo e o módulo da carga 1 é o dobro da 2.

D) positivo e o módulo da carga 2 é o dobro da 1.

E) positivo e o módulo da carga 2 é o triplo da 1.

06. (FUVEST) A figura abaixo mostra o esquema de um instrumento (espectrômetro de massa), constituído de duas partes. Na primeira parte, há um campo elétrico E, paralelo a esta folha de papel, apontando para baixo, e também um campo magnético B1 perpendicular a esta folha, entrando nela. Na segunda, há um campo magnético B2 , de mesma direção que B1 , mas em sentido oposto. Íons positivos, provenientes de uma fonte, penetram na primeira parte e, devido ao par de fendas F1 e F2, apenas partículas com velocidade v, na direção perpendicular aos vetores E e B1, atingem a segunda parte do equipamento, onde os íons de massa m e carga q têm uma trajetória circular com raio R.

a) Obtenha a expressão do módulo da velocidade v em função de E e de B1.

b) Determine a razão m/q dos íons em função dos parâmetros E, B1, B2 e R.

c) Determine, em função de R, o raio R’ da trajetória circular dos íons, quando o campo magnético, na segunda parte do equipamento, dobra de intensidade, mantidas as demais condições.

Dados:

Felétrica = q E (na direção do campo elétrico).

Fmagnética = q v B sen θ (na direção perpendicular a v e a B; θ é o ângulo formado por v e B).

07. (UNESP) Em um equipamento utilizado para separar partículas eletrizadas atuam dois campos independentes, um elétrico, E, e um magnético, B, perpendiculares entre si. Uma partícula de massa m = 4 × 10–15 kg e carga q = 8 × 10–6 C parte do repouso no ponto P, é acelerada pelo campo elétrico e penetra, pelo ponto Q, na região onde atua o campo magnético, passando a descrever uma trajetória circular de raio R, conforme a figura.

) Em um equipamento utilizado para separar partículas eletrizadas atuam dois campos independentes, um elétrico, E, e um magnético, B, perpendiculares entre si

Sabendo que entre os pontos P e Q existe uma diferença de potencial de 40 V, que a intensidade do campo magnético é B = 10–3 T e desprezando ações gravitacionais sobre a partícula eletrizada, calcule:

a) a intensidade do campo elétrico E, em N/C.

b) o raio R, em m, da trajetória circular percorrida pela partícula na região em que atua o campo magnético B.

08. (FUVEST) Um solenoide muito longo é percorrido por uma corrente elétrica I, conforme mostra a figura 1.

Um solenoide muito longo é percorrido por uma corrente elétrica I, conforme mostra a figura 1.

Em um determinado instante, uma partícula de carga q positiva deslocase com velocidade instantânea v perpendicular ao eixo do solenoide, na presença de um campo elétrico na direção do eixo do solenoide. A figura 2 ilustra essa situação, em uma seção reta definida por um plano que contém o eixo do solenoide.

O diagrama que representa corretamente as forças elétrica FE e magnética FB atuando sobre a partícula é:

09. (SANTA CASA) A figura representa uma partícula eletrizada que se desloca horizontalmente com movimento retilíneo e velocidade constante. Em certo instante, ela penetra na região demarcada pelo quadrado, na qual existe um campo magnético uniforme de direção vertical e sentido para cima (perpendicular ao plano e apontando para o leitor), que a faz descrever a trajetória mostrada.

representa uma partícula eletrizada que se desloca horizontalmente com movimento retilíneo e velocidade constante

Para que essa partícula continuasse em movimento retilíneo com velocidade constante, na região em que atua o campo magnético, deveria existir um campo elétrico, também uniforme, de direção

(A) perpendicular ao plano do quadrado e de mesmo sentido que o do campo magnético.

(B) horizontal, perpendicular à direção da velocidade inicial da partícula e de sentido para o lado para o qual a partícula foi desviada.

(C) horizontal e de mesmo sentido da velocidade inicial da partícula.

(D) horizontal, perpendicular à direção da velocidade inicial da partícula e de sentido oposto ao lado para o qual a partícula foi desviada.

(E) perpendicular ao plano do quadrado e de sentido oposto ao sentido do campo magnético.

10. (ALBERT EINSTEIN) Se uma carga elétrica puntiforme positiva se movimenta no interior de um campo magnético uniforme, fica sujeita a uma força magnética cuja direção e sentido podem ser determinados pela regra prática ilustrada na figura. Duas cargas puntiformes, qA e qB, de módulos iguais e massas mA e mB, penetram, em uma região R, com velocidades iguais, indicadas por setas, conforme mostra a figura. 

Nessa região atua um campo magnético uniforme B, perpendicular ao plano desta folha e com sentido para fora dela. A figura mostra, também, as trajetórias circulares percorridas por essas cargas dentro da região R. 

Nessa região atua um campo magnético uniforme B, perpendicular ao plano desta folha e com sentido para fora dela. A figura mostra, também, as trajetórias circulares percorridas por essas cargas dentro da região R.

Com relação aos sinais das cargas qA e qB e à relação entre suas massas, pode-se afirmar que

(A) qB < 0 e mA < mB

(B) qA < 0 e mA > mB

(C) qA < 0 e mA < mB

(D) qA > 0 e mA < mB

(E) qB > 0 e mA > mB

Respostas

1- D         

2- E

3- Linhas de força orientadas de P1 para P2
; v = 5,0 x 10
3m/s

4- A         

5- A          

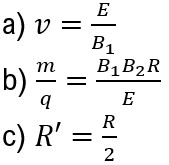
6-

gabarito questão 6lista 86

7-

a) 2 x 102 N/C

b) 0,2 m

8- A        

9- B      

10- C