Eletricidade

Escolha o assunto e comece seus estudos!

Muito aprendizado decore de se fazer perguntas.

Eletromagnetismo

LISTA 85 – CAMPO MAGNÉTICO GERADO POR CORRENTE ELÉTRICA

01. (FUVEST) As figuras representam arranjos de fios longos, retilíneos, paralelos e percorridos por correntes elétricas de mesma intensidade. Os fios estão orientados perpendicularmente ao plano desta página e dispostos segundo os vértices de um quadrado. A única diferença entre os arranjos está no sentido das correntes: os fios são percorridos por correntes que entram ou saem do plano da página.

arranjos de fios longos, retilíneos, paralelos e percorridos por correntes elétricas de mesma intensidade

O campo magnético total é nulo no centro do quadrado apenas em

a) I.

b) II.

c) I e II.

d) II e III.

e) III e IV.

 

02. (UNISA) Dois fios longos são percorridos por correntes de intensidades 3,0A e 4,0 A nos sentidos indicados na figura abaixo. O vetor de indução magnética no ponto P, que dista 2,0 cm de i1 e 4,0 cm de i2, é:

(dado μ0 = 4.π.10–7 T.m.A–1)

Dois fios longos

a) 5,0 x 10-5 T, perpendicular ao plano da figura, para fora.

b) 5,0 x 10-5 T, perpendicular ao plano da figura, para dentro.

c) 1,0 x 10-5 T, perpendicular ao plano da figura, para fora.

d) 1,0 x 10-5 T, perpendicular ao plano da figura, para dentro.

e) nulo.

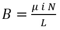
03. (UNESP) Um professor deseja construir um eletroímã que seja capaz de gerar um campo magnético de intensidade 12 × 10–3 T. Para isso, enrola um fio de cobre em torno de um cilindro de ferro, como indica a figura.

Sabendo que a expressão para determinação da intensidade do campo magnético é fórmula do campo magnético de um solenoide, que a permeabilidade magnética do ferro é μ = 3 x 10–4 T.m/A e que a intensidade de corrente i que percorrerá o fio será de 2,0 A, determine N/L, número de espiras por metro de solenoide. Admitindo que a corrente elétrica circule em torno do cilindro de ferro como indicado na figura, refaça, no caderno de respostas, o desenho do eletroímã, nele indicando o sentido do campo magnético gerado.

04. (ITA) Coloca-se uma bússola nas proximidades de um fio retilíneo, vertical, muito longo, percorrido por corrente elétrica contínua i. A bússola é colocada horizontalmente e assim a agulha imantada pode girar livremente em torno de seu eixo. Nas figuras abaixo, o fio é perpendicular ao plano do papel, com a corrente no sentido indicado (saindo). Assinale a posição de equilíbrio estável da agulha imantada, desprezando-se o campo magnético terrestre.

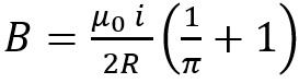
05. (ITA) Um fio condutor é dobrado na forma de uma circunferência de raio R, de modo que não haja contato elétrico pó ponto P. O fio encontra-se em um meio de permeabilidade magnética µ0 e através dele circula uma corrente i. Calcule a intensidade do campo magnético no ponto C.

06. (UFSCar) Isolados um do outro, um fio retilíneo e muito longo foi deitado sobre uma espira circular plana de raio R, conforme o esquema.

um fio retilíneo e muito longo foi deitado sobre uma espira circular plana de raio R

Dados: R = 0,02 m

μ0 = 4.π.10–7 T.m.A–1

π = 3 (valor aproximado, para facilitar seus cálculos)

i1 = 4 A

i2 = 8 A

Supondo que no ponto C apenas atuem os campos magnéticos gerados pelas duas correntes elétricas indicadas,

a) represente em um desenho a direção e o sentido dos vetores campo magnético BE e BF, gerados pela espira e pelo fio, tendo como referência o plano da folha e o esquema.

b) determine a intensidade do campo magnético resultante, supondo que na região não haja nenhuma outra manifestação magnética.

07. (UFPA) Eletroímãs são largamente utilizados como guindastes para transporte de cargas metálicas pesadas (ferro). Na figura, representa-se esquematicamente um eletroímã constituído de um núcleo de ferro e um solenoide com 1000 espiras/metro, percorrido por uma corrente elétrica i = 5 A. (Dado μ0 = 4p x 10–7 T.m/A).  Considerando que a presença do núcleo de ferro aumenta cerca de 1000 vezes o campo magnético no interior do solenoide, em relação ao campo que ele produziria no ar, calcule, em teslas, o campo no eixo do solenoide da figura.

um eletroímã constituído de um núcleo de ferro e um solenoide com 1000 espiras/metro, percorrido por uma corrente elétrica i = 5 A

08. (FAMERP) A figura mostra um solenoide colocado sobre uma superfície horizontal, ligado a uma bateria, e visto de cima para baixo.

O campo magnético gerado por esse solenoide será semelhante ao de um ímã em forma de barra, também sobre uma superfície horizontal e visto de cima para baixo, corretamente representado por

alternativas ex 8 lista 85

09. (UNESP) Dois fios longos e retilíneos, 1 e 2, são dispostos no vácuo, fixos e paralelos um ao outro, em uma direção perpendicular ao plano da folha. Os fios são percorridos por correntes elétricas constantes, de mesmo sentido, saindo do plano da folha e apontando para o leitor, representadas, na figura, pelo símbolo · . Pelo fio 1 circula uma corrente elétrica de intensidade i1 = 9 A e, pelo fio 2, uma corrente de intensidade i2 = 16 A. A circunferência tracejada, de centro C, passa pelos pontos de intersecção entre os fios e o plano que contém a figura

Dois fios longos e retilíneos, 1 e 2, são dispostos no vácuo, fixos e paralelos um ao outro, em uma direção perpendicular ao plano da folha

Considerando μ0 = 4.π.10–7 T.m.A–1, calcule o módulo do vetor indução magnética resultante, em tesla, no centro C da circunferência e no ponto P sobre ela, definido pelas medidas expressas na figura, devido aos efeitos simultâneos das correntes i1 e i2.

10.  (ENEM 2023) O físico Hans C. Oersted observou que um fio transportando corrente elétrica produz um campo magnético. A presença do campo magnético foi verificada ao aproximar uma bússola de um fio conduzindo corrente elétrica. A figura ilustra um fio percorrido por uma corrente elétrica i, constante e com sentido para cima. Os pontos A, B e C estão num plano transversal e equidistantes do fio. Em cada ponto foi colocada uma bússola.

um fio percorrido por uma corrente elétrica i, constante e com sentido para cima. Os pontos A, B e C estão num plano transversal e equidistantes do fio. Em cada ponto foi colocada uma bússola.

Considerando apenas o campo magnético por causa da corrente i, as respectivas configurações das bússolas nos pontos A, B e C serão

Respostas

1- D

2- D

3- N/L = 20 espiras por metro

4- D    

5- gabarito questão 5 lista 85

6- b) B = 1,6 x 10-4 T    

7- B = 2p T

8- C

9-

BC = 5,6 x 10–6 T

BP = 1,0 x 10–5 T

10- D