Mecânica

Escolha o assunto e comece seus estudos!

“Se eu vi mais longe, foi por estar sobre ombros de gigantes.”

Isaac Newton

icone dinâmica

Dinâmica

LISTA 22 – LEIS DE NEWTON VI – PLANO INCLINADO

01. (ESPM) Um corpo de massa m é colocado sobre um plano inclinado de um ângulo q com a horizontal. O módulo da aceleração local é g. Considere desprezível o atrito, P o peso do corpo e N a força normal aplicada pelo plano sobre o corpo.

Um corpo de massa m é colocado sobre um plano inclinado de um ângulo  com a horizontal. O módulo da aceleração local é g. Considere desprezível o atrito, P o peso do corpo e N a força normal aplicada pelo plano sobre o corpo.

Analise as afirmações acerca da situação apresentada:

I – A normal tem módulo mg cosq

II – N equilibra P

III – A força resultante sobre o corpo tem módulo mg senq

Pode-se afirmar que somente

a) I é correta

b) II é correta

c) III é correta

d) I e II são corretas

e) I e III são corretas

02. (FUVEST) O mostrador de uma balança, quando um objeto é colocado sobre ela, indica 100 N, como esquematizado em A. Se tal balança estiver desnivelada, como se observa em B, seu mostrador deverá indicar, para esse mesmo objeto, o valor de

a) 125N        

b) 120N         

c) 100N        

d) 80N        

e) 75N

03. (FAMERP) Um caminhão transporta em sua carroceria um bloco de peso 5000 N. Após estacionar, o motorista aciona o mecanismo que inclina a carroceria.

Sabendo que o ângulo máximo em relação à horizontal que a carroceria pode atingir sem que o bloco deslize e θ, tal que sen θ = 0,60 e cos θ = 0,80, o coeficiente de atrito estático entre o bloco e a superfície da carroceria do caminhão vale

a) 0,55.

b) 0,15.

c) 0,30.

d) 0,40.

e) 0,75.

04. (UNESP) Em uma circular técnica da Embrapa, depois da figura, 

caminhão carregando uma tora de madeira

encontramos uma recomendação que, em resumo, diz:

“No caso do arraste com a carga junto ao solo (se por algum motivo não pode ou não deve ser erguida…) o ideal é arrastá-la … reduzindo a força necessária para movimentá-la, causando menor dano ao solo … e facilitando as manobras. Mas neste caso o peso da tora aumenta.

(www.cpafac.embrapa.br/pdf/cirtec39.pdf. Modificado.)

Pode se afirmar que a frase que destacamos em itálico é conceitualmente

(A) inadequada, pois o peso da tora diminui, já que se distribui sobre uma área maior.

(B) inadequada, pois o peso da tora é sempre o mesmo, mas é correto afirmar que em II a força exercida pela tora sobre o solo aumenta.

(C) inadequada: o peso da tora é sempre o mesmo e, além disso, a força exercida pela tora sobre o solo em II diminui, pois se distribui por uma área maior.

(D) adequada, pois nessa situação a tora está integralmente apoiada sobre o solo.

(E) adequada, pois nessa situação a área sobre a qual a tora está apoiada sobre o solo também aumenta.

05. Um bloco escorrega num plano inclinado de um ângu­lo a com a horizontal com velocidade constante. Calcule o coeficiente de atrito dinâmico entre o bloco e a super­fície de apoio.

06. (UNIFESP) Um abajur está apoiado sobre a superfície plana e horizontal de uma mesa em repouso em relação ao solo. Ele é acionado por meio de um cordão que pende verticalmente, paralelo à haste do abajur, conforme a figura 1. Para mudar a mesa de posição, duas pessoas a transportam inclinada, em movimento retilíneo e uniforme na direção horizontal, de modo que o cordão mantém-se vertical, agora inclinado de um ângulo θ = 30o, constante em relação à haste do abajur, de acordo com a figura 2. Nessa situação, o abajur continua apoiado sobre a mesa, mas na iminência de escorregar em relação a ela, ou seja, qualquer pequena inclinação a mais da mesa provocaria o deslizamento do abajur.

Um abajur está apoiado sobre a superfície plana e horizontal de uma mesa em repouso em relação ao solo

Calcule:

a) o valor da relação N1/N2, sendo N1 o módulo da força normal que a mesa exerce sobre o abajur na situação da figura 1 e N2 o módulo da mesma força na situação da figura 2.

b) o valor do coeficiente de atrito estático entre a base do abajur e a superfície da mesa.

07. Uma mola ideal de massa desprezível, cuja constante elástica k = 400 N/m, aplica uma força F em um bloco. Sendo a massa do bloco 10 kg, essa força faz com que ele suba uma rampa inclinada de 30º com aceleração de 3 m/s2. Se os atritos forem desprezíveis e a força F paralela ao plano, calcule a deformação dessa mola. Adote g = 10 m/s2.

mola aplica força sobre bloco em um plano inclinado

08. (UNESP) Um homem sustenta uma caixa de peso 1000 N, que está apoiada em uma rampa com atrito, a fim de colocá-la em um caminhão, como mostra a figura 1. O ângulo de inclinação da rampa em relação à horizontal é igual a θ1 e a força de sustentação aplicada pelo homem para que a caixa não deslize sobre a superfície inclinada é F, sendo aplicada à caixa paralelamente à superfície inclinada, como mostra a figura 2.

Um homem sustenta uma caixa de peso 1000 N, que está apoiada em uma rampa com atrito, a fim de colocá-la em um caminhão

Quando o ângulo θ1 é tal que sen θ1 = 0,60 e cos θ1 = 0,80, o valor mínimo da intensidade da força F é 200 N. Se o ângulo for aumentado para um valor θ2, de modo que sen θ2 = 0,80 e cos θ2 = 0,60, o valor mínimo da intensidade da força F passa a ser de

(A) 400 N.

(B) 350 N.

(C) 800 N.

(D) 270 N.

(E) 500 N.

09. (UEL) Com base na figura abaixo e nos conhecimentos sobre o atrito e as Leis de Newton, assinale a alternativa correta. 

dois corpos sobre plano inclinado

a) Quando um corpo se movimenta em relação a outro, a força de atrito aparece sempre no sentido direto à tendência de movimento.

b) No final da caminhada (figura acima), a pessoa que está na frente fica parada sem escorregar, pois a Fatmax = µe mg sen θ e portanto µe = tg1 θ.

c) Se por algum motivo (na figura acima), quem está atrás puxasse quem está na frente, a Fat estaria no mesmo sentido do “puxão” para quem aplicou a força.

d) Podemos afirmar que a força de atrito é proporcional à força normal e independente da área de contato.

e) No final da caminhada, a pessoa que está na frente está sujeita a uma Fat, e, para que esta seja máxima, devemos ter Fatmax = µe mg senθ.

10. (FAMERP) Ao descer uma ladeira plana e inclinada 23,5º em relação à horizontal, um ciclista mantém sua velocidade constante acionando os freios da bicicleta.

Ao descer uma ladeira plana e inclinada 23,5º em relação à horizontal, um ciclista mantém sua velocidade constante acionando os freios da bicicleta.

Considerando que a massa do ciclista e da bicicleta, juntos, seja 70 kg, que a aceleração gravitacional no local seja 10 m/s2, que sen 23,5º = 0,40 e que cos 23,5º = 0,92, a intensidade da resultante das forças de resistência ao movimento que atuam sobre o conjunto ciclista mais bicicleta, na direção paralela ao plano da ladeira, é

(A) 280 N.

(B) nula.

(C) 640 N.

(D) 760 N.

(E) 1750 N.

Respostas

1- E   

2- D   

3- E

4- B      

5- µ = 0,75     

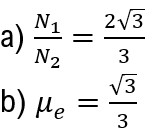
6-

gabarito questão 6 lista 22 ex 10

7- x = 0,2
m    

8- E

9- D

10- A