Mecânica
Escolha o assunto e comece seus estudos!
“Se eu vi mais longe, foi por estar sobre ombros de gigantes.”
Isaac Newton
Cinemática
LISTA 1 – SISTEMA INTERNACIONAL E ANÁLISE DIMENSIONAL
01. (FAMERP) Lavar a louça, por 15 minutos, com a torneira meio aberta, consome 120 litros de água.
(http://site.sabesp.com.br)
Na situação descrita, o volume aproximado de água que flui pela torneira por unidade de tempo, em unidades pertencentes ao Sistema Internacional de Unidades (SI), é
a) 8,00 x 10–3 m3/s.
b) 1,33 x 10–2 m3/min.
c) 8,00 x 10 cm3/s.
d) 1,33 x 10–4 m3/s.
e) 1,33 x 102 cm3/min.
02. (FUVEST) Uma gota de chuva se forma no alto de uma nuvem espessa. À medida que vai caindo dentro da nuvem, a massa da gota vai aumentando, e o incremento de massa Δm, em um pequeno intervalo de tempo Δt, pode ser aproximado pela expressão: Δm = α.v.S.Δt, em que α é uma constante, v é a velocidade da gota, e S, a área de sua superfície. No sistema internacional de unidades (SI), a constante α é
a) expressa em kg.m3
b) expressa em kg.m–3
c) expressa em m3.s.kg–1
d) expressa em m3.s–1
e) adimensional.
03. (UNESP) Desde 1960, o Sistema Internacional de Unidades (SI) adota uma única unidade para quantidade de calor, trabalho e energia, e recomenda o abandono da antiga unidade ainda em uso. Assinale a alternativa que indica na coluna I a unidade adotada pelo SI e na coluna II a unidade a ser abandonada.
| I | II |
(A) | joule (J) | caloria (cal) |
(B) | caloria (cal) | joule (J) |
(C) | watt (W) | quilocaloria (kcal) |
(D) | quilocaloria (kcal) | watt (W) |
(E) | pascal (Pa) | quilocaloria (kcal) |
04. (UNESP) O fluxo (Φ) representa o volume de sangue que atravessa uma sessão transversal de um vaso sanguíneo em um determinado intervalo de tempo. Esse fluxo pode ser calculado pela razão entre a diferença de pressão do sangue nas duas extremidades do vaso (P1 e P2), também chamada de gradiente de pressão, e a resistência vascular (R), que é a medida da dificuldade de escoamento do fluxo sanguíneo, decorrente, principalmente, da viscosidade do sangue ao longo do vaso. A figura ilustra o fenômeno descrito.

Assim, o fluxo sanguíneo Ф pode ser calculado pela seguinte fórmula, chamada de lei de Ohm:

Considerando a expressão dada, a unidade de medida da resistência vascular (R), no Sistema Internacional de Unidades, está corretamente indicada na alternativa

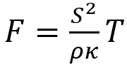
05. (UNICAMP) Materiais termoelétricos são aqueles com alto potencial de transformar calor em energia elétrica. A capacidade de conversão de calor em eletricidade e quantificada pela grandeza
, que é adimensional e função da temperatura T e das propriedades do material: resistividade elétrica ρ, condutividade térmica κ, coeficiente Seebeck S. O gráfico a seguir mostra ρ em função de T para certo material termoelétrico.

Analisando o gráfico e considerando κ = 2,0 W/(m×K) e S = 300 μV/K para esse material, a uma temperatura T = 300 K, conclui-se que a grandeza F desse material a essa temperatura vale
a) 0,003.
b) 0,6.
c) 0,9.
d) 90.
06. (UNESP) Desenvolvida em 1935 por Charles F. Richter, com a colaboração de Beno Gutenberg, a escala Richter permite determinar a magnitude (M) de um terremoto, fenômeno que libera uma grande quantidade de energia (E) que se propaga pela Terra em todas as direções. A magnitude e a energia de um terremoto podem ser relacionadas pela expressão a seguir, em que E é expressa em erg, uma unidade de medida de energia do sistema CGS.
logE = 11,8 + 1,5M
A tabela apresenta os efeitos gerados por um terremoto, de acordo com sua magnitude na escala Richter:

No dia 6 de janeiro de 2020, o sul de Porto Rico foi atingido por um terremoto que liberou uma quantidade de energia E = 1013,8 J. Considerando a tabela e que 1 erg = 10–7 J, esse terremoto
(A) foi destrutivo em áreas até 100 km do epicentro.
(B) danificou casas mal construídas em regiões próximas ao epicentro.
(C) não foi sentido e não causou danos.
(D) causou sérios danos em uma grande faixa, sendo considerado um grande terremoto.
(E) causou graves danos em áreas a centenas de quilômetros do epicentro, sendo considerado um enorme terremoto.
07. (ENEM) BTU é a sigla para British Thermal Unit (Unidade Térmica Inglesa), que é definida como a quantidade de calor necessária para elevar a temperatura de 1 libra (0,45kg) de água de 59,5°F a 60,5°F sob pressão constante de 1 atmosfera. A unidade BTU é utilizada, de forma errônea, por diversos profissionais como sendo a potência de resfriamento do aparelho.
RODITI, I. Dicionário Houaiss de Física. Rio de Janeiro: Objetiva, 2005 (adaptado).
Como se pode representar corretamente a unidade de potência com base na definição de BTU?
a) BTU × h−1
b) BTU × m2
c) BTU × h−1 × m2
d) BTU × h
e) BTU × m−2
08. (UNESP) Segundo a lei da gravitação de Newton, o módulo F da força gravitacional exercida por uma partícula de massa m1 sobre outra de massa m2, à distância d da primeira, é dada por
onde G é a constante da gravitação universal. Em termos exclusivos das unidades de base do Sistema Internacional de Unidades (SI), G é expressa em
a) kg–1.m3.s–2.
b) kg2.m–2.s2.
c) kg2.m–2.s–1.
d) kg3.m3.s–2.
e) kg–1.m2.s–1.
09. (SANTA CASA 2023) O exame de espirometria consiste em medir o volume de ar que entra e sai dos pulmões. O gráfico apresenta o resultado de uma espirometria realizada durante uma manobra expiratória forçada, indicando o volume de ar expirado em função do tempo.

O coeficiente angular da reta tangente à curva desse gráfico fornece, no instante correspondente ao ponto de tangência, o valor
(A) da velocidade do ar que sai dos pulmões, em metros por segundo.
(B) do volume de ar ainda existente nos pulmões, em litros.
(C) da aceleração do ar que sai dos pulmões, em metros por segundo ao quadrado.
(D) do volume de ar já expirado, em litros.
(E) do fluxo de ar que sai dos pulmões, em litros por segundo.
10. (FAMERP 2023) A dimensão de certa grandeza física, em termos de comprimento [L], massa [M] e tempo [T], é dada por [L]·[M]·[T]–2 . Essa grandeza tem dimensão de
(A) torque.
(B) pressão.
(C) energia.
(D) quantidade de movimento.
(E) força.
Respostas
1- D
2- B
3- A
4- D
5- C
6- B
7- A
8- A
9- E
10- E
